Polypropylene Glycol

Polypropylene Glycol (PPG)

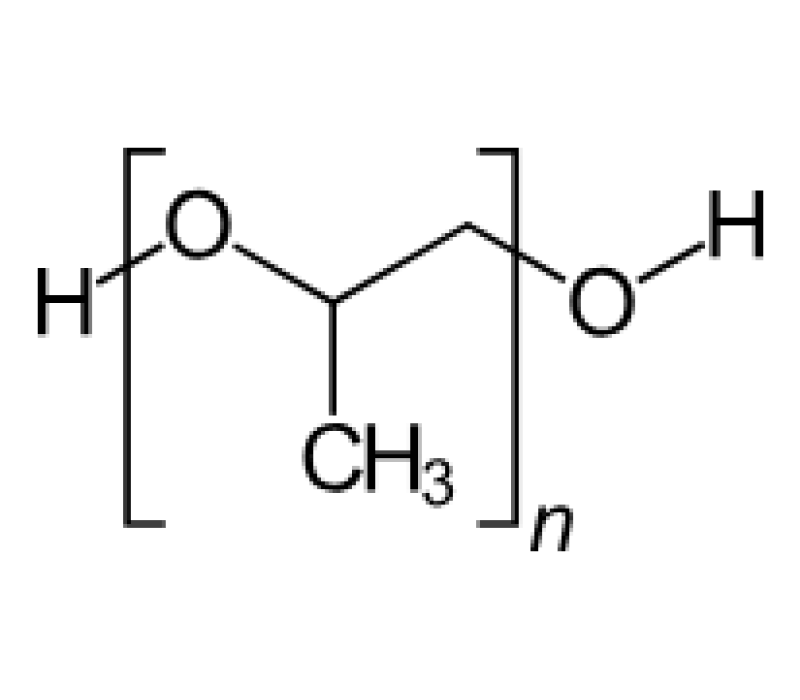
Polypropylene Glycol (PPG) is a versatile polymer of propylene oxide, available in various molecular weights. It is a colorless to slightly hazy viscous liquid with excellent solubility in water and many organic solvents. PPG is widely used in the production of polyurethane foams, lubricants, coatings, and as a chemical intermediate in various industrial applications.
  • Chemical Formula : H(OCH(CH₃)CH₂)nOH
  • Appearance : Clear to slightly hazy viscous liquid
  • Grade : Industrial
  • Applications :
  • As a base material in polyurethane foams and elastomers
  • In lubricants and hydraulic fluids for stability and performance
  • In coatings and adhesives for flexibility and durability
  • As a chemical intermediate in surfactants and plasticizers
  • Used in textile and leather finishing applications